목차
- 시작하면서...
- Representable functor 정의
- Examples
- Tensor product
- Product of sets
- 마무리
시작하면서...
지난 포스팅에서는 Yoneda lemma를 다루며 hom functor가 생각보다 꽤 중추적인 역할을 하고 있음을 알았다. 어떤 의미에서는 우리가 구체적으로 아는, 나름 general하면서도 구체적으로 아는(이 말이 모순인가? ㅎㅎ) functor는 hom functor 뿐인 것 같다. 그래서 주어진 functor가 hom functor와 naturally isomorphic 한지를 보아 해당 functor를 이해하려는 노력을 하는데, 여기서부터 representation of a functor가 등장한다.
Representable functor 정의
Functor $F:\mathcal{C}^{op}\longrightarrow\mathtt{SETS}$가 representable하다는 것은 $h_X\cong F$를 만족시키는 $X\in\mathcal{C}$가 존재하는 것을 의미한다. 이는 $F$의 yoneda embedding의 essential image를 보는 것과 같다.
비슷하게 covariant functor $F:\mathcal{C}\longrightarrow\mathtt{SETS}$가 representable하다는 것은 $h^X\cong F$인 $X\in\mathcal{C}$가 존재함을 의미한다. 이 또한 covariant version의 yoneda embedding의 essential image를 보는 것이다.
Examples
Tensor product
Commutative ring $A$와 $A$-module $M,N\in A-\mathtt{MOD}$이 주어졌다고 하자.
$A$-module $P$마다 정의되는 $A$-bilinear map $M\times N\longrightarrow P$를 모두 모아놓은 집합을 $Bil(M,N;P)$라고 하자.
그리고 이로부터 covariant functor $F:A-\mathtt{MOD}\longrightarrow\mathtt{SETS}$를 다음과 같이 정의하자.:
object는 $$P\mapsto Bil(M,N;P)$$로 대응시키고,
morphism은 $A$-linear map $\varphi:P\longrightarrow Q$가 주어질 때마다 다음의 diagram이 commute 하게끔 $F\varphi$가 주어진다.

그러면 $F$는 covariant functor가 된다.
지금부터 $F$가 representable인지를 확인하고자 한다. 즉, $h^X\cong F$를 만족시키는 $X\in A-\mathtt{MOD}$는 무엇인가? 우리는 bilinearity를 linearity로 바꿔주는 도구인 tensor product를 알고 있다. 실제로, $X:=M\otimes_A N$이 $F$의 representability를 주는 object이다.
$h^X\cong F$임을 보이기 위해 $\alpha:h^X\longrightarrow F$를 다음과 같이 정의하자.:
각 $A$-module $P$마다 $$\alpha_P:Hom_{A\text{-}\mathtt{MOD}}(X,P)\longrightarrow Bil(M,N;P)$$는 $$\overline{\varphi}\mapsto\overline{\varphi}\circ\otimes$$로 정의한다.
그러면 임의의 $A$-linear map $\psi:P\longrightarrow Q$에 대하여 아래의 commutative diagram이 성립한다.

그러므로 $\alpha$는 natural transformation이다.
이제 각 $A$-module $P$마다 $\alpha_P$가 isomorphism인지만 확인하면 되는데, 이는 곧 tensor product의 universal property에 의해 얻어진다. 즉, 임의의 $A$-bilinear map $\varphi:M\times N\longrightarrow P$가 주어질 때마다, $\varphi=\overline{\varphi}\circ\otimes$를 만족시키는 unique $A$-linear map $\overline{\varphi}:M\otimes_A N\longrightarrow P$가 존재함을 안다.
따라서 $\alpha$는 natural isomorphism이므로 $F$는 representable하다.
그런데, 어떻게 저렇게 $\alpha_P$의 map을 정의할 수 있었을까? $F$가 representable이 될 것이란 강한 희망을 품고, representable이라고 해보자. 그러면 $\alpha$의 naturality는 어떠한 $A$-module $P$를 가지고 와도 성립해야 하기 때문에, 여기서 특별히 $P=M\otimes_A N$으로 택해본다. 그러면 아래의 식을 얻을 것이다. $$ Hom_{A\text{-}\mathtt{MOD}}(M\otimes_A N,M\otimes_A N)\cong Bil(M,N;M\otimes_A N) $$ 좌변의 집합에서 가장 먼저 떠올릴 수 있는 morphism은 identity morphism일 것이다. 위의 bijection이 성립해야 하니, 이 identity morphism도 적당한 $A$-bilinear map과 대응이 되어야만 한다.
이를 확인하기 위하여 아래의 commutative diagram을 보라. 결국, 점선으로 표현된 morphism이 우리가 찾는 $A$-bilinear map인데, 이는 다름 아닌 $\otimes$인 것이다.

이를 이용하여 임의의 $\overline{\varphi}:M\otimes_A N\longrightarrow P$에 대하여 $\alpha$의 naturality를 적용시키면 $\alpha_P$가 만족해야 하는 mapping을 얻을 수 있다.

Product of sets
이번에는 $\mathtt{SETS}$를 생각해보도록 하자. 주어진 collection $\{X_i\}_{i\in I}$에 대하여 다음과 같이 functor $F:\mathtt{SETS}^{op}\longrightarrow\mathtt{SETS}$를 정의해주면 $F$는 contravariant functor가 된다.:
object: $$ F(X):=\prod_{i\in I} Hom_{\mathtt{SETS}}(X,X_i) $$
morphism: function $f:Y\longrightarrow Z$가 주어질 때마다 각 function $p_i:Z\longrightarrow X_i$는 $f$에 대한 pull-back $$f^*(p_i)=p_i\circ f$$를 가지므로 $Ff((p_i)):=(f^*(p_i))$로 정의.

이 경우에도 $F$가 representable임을 확인하고자 한다. 즉, $h_X\cong F$를 만족시키는 $X\in\mathtt{SETS}$는 무엇인가? 이미 위의 functor의 생김새로부터 눈치를 챌 수 있는데, 바로 $X:=\prod_{i\in I} X_i$가 된다.
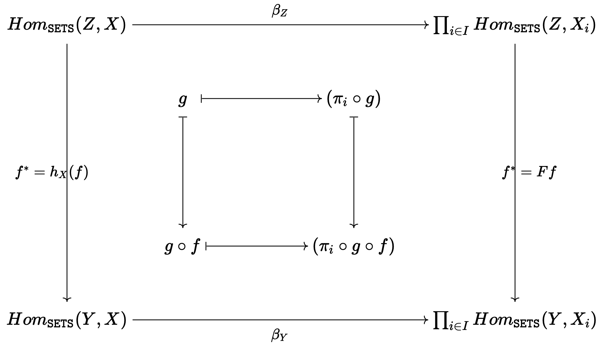
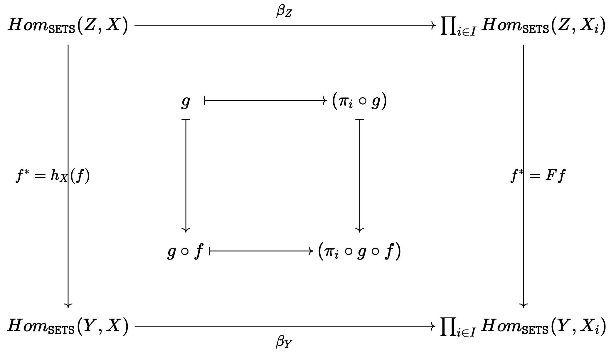
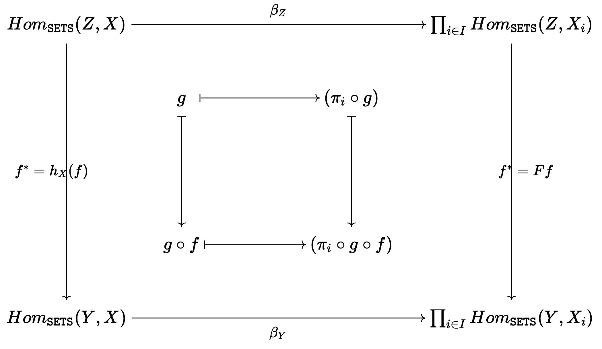
product의 각 component로의 projection map을 $\pi_i:X\longrightarrow X_i$라고 하자. 그리고 $\beta:h_X\longrightarrow F$를 각 set $Y$마다 다음과 같이 정의하고자 한다. $$ \beta_Y: Hom_{\mathtt{SETS}}(Y,X)\longrightarrow \prod_{i\in I} Hom_{\mathtt{SETS}}(Y,X_i),\quad g\mapsto (\pi_i\circ g) $$
그러면 다음의 commutative diagram이 성립하는 것을 알 수 있다.:
임의의 function $f:Y\longrightarrow Z$에 대하여,

따라서 $\beta$는 natural transformation이다.
더 나아가 product의 universal property에 의하여 모든 $g_i:Y\longrightarrow X_i$에 대하여 $\pi_i\circ g=g_i$를 만족시키는 unique function $g:Y\longrightarrow X$가 존재하고, 이 대응하에 $\beta_Y$가 bijection이 됨을 확인할 수 있다.
그러므로 $\beta$는 natural isomorphism이고 $F$는 representable functor이다.
마무리
representability를 보이다보니 universal property를 쓰는 순간이 많았다. 이번 example에서는 universal element의 특징으로부터 representability를 이끌어냈는데, 아마도 다른 예에서는 representability로부터 universal element의 존재성을 보장할 수도 있지 않을까 하는 생각이 든다. (실제로도 그런 예가 있다고 들었는데, 아직은 잘 모르겠으므로 maybe로 남겨둔다.)
'Math > Category Theory' 카테고리의 다른 글
| [Category] 8. Product and Coproduct (0) | 2022.07.21 |
|---|---|
| [Category] 7. Adjoint Pair (0) | 2022.07.21 |
| [Category] 5. Yoneda Lemma (0) | 2022.07.21 |
| [Category] 4. Equivalence of Categories (0) | 2022.07.20 |
| [Category] 3. Natural Transformation (0) | 2022.07.20 |